ERCOFTAC PC UK and France
Stefan S. Nixon
(Department of Applied Mathematics and Theoretical Physics, University of Cambridge, UK; Department of Aeronautics, Imperial College London, UK)
Stuart B. Dalziel
(Department of Applied Mathematics and Theoretical Physics, University of Cambridge, UK)
Romain Watteaux
(CEA, DAM/DIF, 91297 Arpajon Cedex, France)
High-fidelity density and vorticity fields, captured via synchronised PLIF and PIV, reveal a clear correlation between scalar mixing and rotational dynamics. By resolving features down to the Kolmogorov scale, these data enable the rigorous separation of coherent structures from background turbulence. This experimental evidence confirms the physical bimodality of the flow and validates the non-negligible directed kinetic energy (Watteaux et al. 2024).
This submission presents a modern experimental visualisation and characterisation of Rayleigh–Taylor Turbulence (RTT), a classical problem in fluid dynamics. The existence of persistent large-scale structures across the turbulent mixing zone (TMZ) is a central assumption of two-structure models for RTT. In these models, the flow is decomposed into complementary co-moving downward (b↓) and upward (b↑) fields, defined by their mean velocities U↓ and U↑. Although standard single-fluid Reynolds-averaged Navier–Stokes (RANS) treatments often subsume these dynamics into isotropic turbulence, two-structure models predict that the directed kinetic energy (Kd), defined as Kd = 1 2 (U↓ −U↑)2, is nonnegligible and essential for predictive accuracy (Llor & Bailly 2003). This study bridges the gap between theory and reality by providing definitive experimental evidence that these structures are not transient interface features, but are extended physical entities that traverse the entire mixing zone. Our visualisation was obtained to provide definitive experimental evidence for the theoretical two-structure modelling framework (Llor & Bailly 2003; Watteaux et al. 2024). The experiment utilises a refined sliding-barrier apparatus with a novel transparent polycarbonate barrier to allow for optical access during the removal of the barrier, ensuring observability of the turbulence intrinsic to the instability. Data was acquired through simultaneous Planar Laser-Induced Fluorescence and Particle Image Velocimetry, which allowed for high-fidelity mapping of density and velocity fields. We adapt the structure identification method proposed by Watteaux et al. (2024) for 2D experimental slices. Solving the advectiondiffusion- filtering equation to derive the segmentation threshold β◦ is challenging with 2D PIV data due to the absence of the third velocity component. We developed a robust methodology to overcome these projection limitations, ensuring that the isolated structures correspond to true dynamic entities.

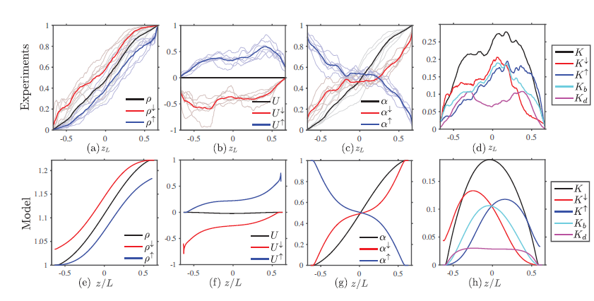
Figure 1: Comparison of structure-averaged profiles obtained from experiments (top row) and two-structure model predictions (bottom row). The columns display: (a, e) Density profiles (ρ); (b, f) Vertical velocity (U); (c, g) Volume fraction (α); and (d, h) Kinetic energy components (K).
The primary outcome of this work is the experimental proof that theoretical structure fields are physically realisable in the real world. The analysis of per-structure averaged profiles experimentally verifies the model’s statistical predictions (Fig. 1). Crucially, these profiles demonstrate that the directed kinetic energy Kd is non-negligible, as shown by the magenta curves. To ensure physical interpretability, we compared the resulting structures against data-driven modal analyses; specifically, Proper Orthogonal Decomposition (e.g. Liang 2002) and Dynamic Mode Decomposition (Schmid, 2010). The strong spatial and temporal agreement observed between these methods suggest that our physics-based segmentation offers a robust, interpretable alternative to traditional mathematical decompositions. Ultimately, our experiments, represented in our submitted visualisation, confirm that these structures are persistent entities that maintain their integrity while traversing the TMZ. Even in high-Reynolds number experimental environments, the bimodal nature of the flow remains a robust physical signature, providing empirical justification for the use of structure-based modelling frameworks
S. S. Nixon (2025). On Structures in Rayleigh-Taylor Turbulence: From Experiments and Simulation to Modelling. PhD thesis, University of Cambridge (under examination).
S. S. Nixon would like to acknowledge their funding from CEA
Y. Liang, H. Lee, S. Lim, W. Lin, et al. Proper Orthogonal Decomposition and Its Applications—Part I: Theory. Journal of sound and vibration, 252(3):527 (2002).
A. Llor and P. Bailly. "A new turbulent two-field concept for modelling Rayleigh–Taylor, Richtmyer–Meshkov, and Kelvin–Helmholtz mixing layers." Laser and particle beams 21.3 (2003)
P. J. Schmid. Dynamic mode decomposition of numerical and experimental data. Journal of Fluid Mechanics, 656:5–28 (2010).
R.Watteaux, J. A. Redford, and A. Llor. Persistence and bimodality of large-scale turbulent structures across a Rayleigh-Taylor layer: Impact on transport and physical modelling through two-field-conditional correlations (2024).